IG100氣體滅火系統設計計算舉例

一、工程概況
某建筑內數據中心長12m,寬8m,室內凈高3.5m,設計環境溫度為24°C~26°C,擬采用IG100氣體滅火系統。
二、主要設計參數
1、滅火設計濃度C=38.3%(按電子產品火災)
2、防護區最低環境溫度T=24°C
3、防護區海拔高度修正系數K=1

4、防護區內圍護結構承受內壓的允許壓強P=1200Pa
5、IG100滅火劑充裝密度=1.1652kg/m3(15MPa,20°C時)
三、計算防護區容積
V=12×8×3.5=336m3
四、IG100滅火劑設計用量計算
防護區內環境溫度為24°C時IG100的蒸汽比容
S=0.799678+0.00293T=0.87(m3/kg)
防護區內全淹沒滅火設計用量:

按設計用量的2%估算噴放剩余量,則系統滅火劑儲存量為:186.6×1.02=190.33(kg)

五、計算儲瓶數
根據每瓶80L鋼瓶充裝13.4kg滅火劑,得出:
n=190.33÷13.4=14.20(瓶)
設計采用15只儲氣鋼瓶,滅火劑實際儲存量為201kg。

六、計算防護區應布置噴嘴數量
根據單個噴嘴保護面積不宜大于30m2,得出:
n=96/30=3.2(個)
設計按4只噴嘴布置,每只噴嘴的IG-100氣體滅火劑噴放流量為:
Q=(13.4×15)÷4=50.25(kg/只)
根據管徑估算表 ,選用DN25或DN32的噴嘴接管。
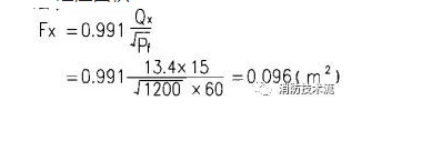
七、防護區泄壓口
泄壓面積

選用CX545107型泄壓閥,實際泄壓面積為0.098m2。
注:本例題方案和初步設計階段IG-100系統滅火劑用量按淹沒系數乘以防護區容積,再除以IG-100的蒸汽比容估算為:24℃時38.3%滅火設計濃度IG-100的淹沒系數0.478,蒸汽比容0.87,W=0.478×336÷0.87=184.61(kg),與上面計算結果186.6kg基本接近。

公司資質
檢測報告
檢測報告
環境管理體系證書
質量管理體系證書
蘇公網安備32058102002152號